Tìm m để phương trình có nghiệm 2025 đầy đủ, chi tiết

0.9 K

Tailieumoi.vn xin giới thiệu Tìm m để phương trình có nghiệm 2025 đầy đủ, chi tiết được sưu tầm và biên soạn theo chương trình học của 3 bộ sách mới. Bài viết gồm bài tập với đầy đủ các mức độ và có hướng dẫn giải chi tiết sẽ giúp học sinh ôn luyện kiến thức và rèn luyện kĩ năng làm bài tập Toán 9. Ngoài ra, bài viết còn có phần tóm tắt nội dung chính lý thuyết Tìm m để phương trình có nghiệm. Mời các bạn đón xem:

Tìm m để phương trình có nghiệm 

A. Lý thuyết Tìm m để phương trình có nghiệm

Cho phương trình: ax2 + bx + c = 0 (a ≠ 0)

1. Điều kiện để phương trình có hai nghiệm phân biệt sao cho x1 = px(với p là một số thực)

B1- Tìm điều kiện để phương trình có hai nghiệm phân biệt .

B2- Áp dụng định lý Vi - ét tìm:

Cách tìm m để phương trình bậc hai có nghiệm thỏa mãn điều kiện

B3- Kết hợp (1) và (3) giải hệ phương trình: Cách tìm m để phương trình bậc hai có nghiệm thỏa mãn điều kiện

B4- Thay x1 và x2 vào (2) ⇒ Tìm giá trị tham số.

2. Điều kiện để phương trình có hai nghiệm thỏa mãn điều kiện: |x1 - x2| = k(k ∈ R)

- Bình phương trình hai vế: (x1 - x2)2 = k2 ⇔ ... ⇔ (x1 + x2)2 - 4x1x2 = k2

- Áp dụng định lý Vi-ét tính x1 + x2 và x1x2 thay vào biểu thức ⇒ kết luận.

3. So sánh nghiệm của phương trình bậc hai với một số bất kỳ:

B1: Tìm điều kiện để phương trình có nghiệm (∆ ≥ 0)

B2: Áp dụng Vi-ét tính x1 + x2 và x1x2  (*)

+/ Với bài toán: Tìm m để phương trình có hai nghiệm > α

Ta có: Cách tìm m để phương trình bậc hai có nghiệm thỏa mãn điều kiện. Thay biểu thức Vi-ét vào hệ(*) để tìm m

+/ Với bài toán: Tìm m để phương trình có hai nghiệm < α

Ta có:  Cách tìm m để phương trình bậc hai có nghiệm thỏa mãn điều kiện (*).Thay biểu thức Vi-ét vào hệ(*) để tìm m

+/ Với bài toán: Tìm m để phương trình có hai nghiệm: x1 < α < x2

Ta có: (x1 - α)(x2 - α) < 0 (*). Thay biểu thức Vi-ét vào (*) để tìm m

B. Bài tập Tìm m để phương trình có nghiệm

1. Bài tập tự luận

Câu 1: Cho phương trình x2 - (2m + 2)x + 2m = 0 (m là tham số). Tìm m để phương trình có hai nghiệm x1, x2 thỏa mãn Cách tìm m để phương trình bậc hai có nghiệm thỏa mãn điều kiện

A. m = 0

B. m = 1

C. m = 3

D. m = 4

Lời giải:

Phương trình x2 - (2m + 2)x + 2m = 0 ⇔ x2 - 2(m + 1)x + 2m = 0

Điều kiện PT có 2 nghiệm không âm x1, x2 

Cách tìm m để phương trình bậc hai có nghiệm thỏa mãn điều kiện

Vậy m = 0 là giá trị cần tìm.

Đáp án đúng là A

Câu 2: Cho phương trình x2 + 2x - m2 - 1 = 0 (m là tham số)

Tìm m để phương trình trên có hai nghiệm thỏa mãn x1 = -3x2

A. m = 3

B. m = ±1

C. m = ±√2

D. m = -2

Lời giải:

Ta có: Δ' = 12 - 1.(-m2 - 1)=1 + m2 + 1 = m2 + 2 > 0 (luôn đúng với mọi m)

Suy ra phương trình luôn có hai nghiệm phân biệt với mọi m.

Theo Vi-ét ta có: Cách tìm m để phương trình bậc hai có nghiệm thỏa mãn điều kiện

Ta có: x1 + x2 = -2 (do trên) và x1 = -3x2 nên có hệ phương trình sau:

Cách tìm m để phương trình bậc hai có nghiệm thỏa mãn điều kiện

Thay (*) vào biểu thức x1.x2 = -m2 - 1 ta được:

Cách tìm m để phương trình bậc hai có nghiệm thỏa mãn điều kiện

Vậy m = ±√2 là các giá trị cần tìm.

Đáp án đúng là C

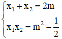
Câu 3: Cho phương trình x2 - 2(m + 1)x + m2 + m - 1 = 0 (m là tham số)

Gọi S là tập tất cả các giá trị của m để phương trình có hai nghiệm phân biệt thỏa mãn điều kiện Cách tìm m để phương trình bậc hai có nghiệm thỏa mãn điều kiện. Tính tích của các giá trị đó

Cách tìm m để phương trình bậc hai có nghiệm thỏa mãn điều kiện

Lời giải:

Δ' = (m + 1)2 - (m2 + m - 1) = m2 + 2m + 1 - m2 - m + 1 = m + 2

Phương trình đã cho có hai nghiệm phân biệt ⇔ Δ' > 0 ⇔ m + 2 > 0 ⇔ m > -2

Áp dụng hệ thức Vi-ét, ta có: Cách tìm m để phương trình bậc hai có nghiệm thỏa mãn điều kiện

Do đó:

Cách tìm m để phương trình bậc hai có nghiệm thỏa mãn điều kiện

Kết hợp với điều kiện m > -2 Cách tìm m để phương trình bậc hai có nghiệm thỏa mãn điều kiện là các giá trị cần tìm.

Đáp án đúng là C

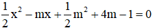
Câu 4: Cho phương trình Cách tìm m để phương trình bậc hai có nghiệm thỏa mãn điều kiện (m là tham số).  Tìm tất cả các giá trị của m để phương trình đã cho có hai nghiệm thỏa mãn Cách tìm m để phương trình bậc hai có nghiệm thỏa mãn điều kiện

Cách tìm m để phương trình bậc hai có nghiệm thỏa mãn điều kiện

Lời giải:

Để phương trình đã cho có hai nghiệm phân biệt thì ∆ ≥ 0

Cách tìm m để phương trình bậc hai có nghiệm thỏa mãn điều kiện

Phương trình có nghiệm khác 0 Cách tìm m để phương trình bậc hai có nghiệm thỏa mãn điều kiện

Cách tìm m để phương trình bậc hai có nghiệm thỏa mãn điều kiện

Kết hợp với điều kiện Cách tìm m để phương trình bậc hai có nghiệm thỏa mãn điều kiện ta có

Cách tìm m để phương trình bậc hai có nghiệm thỏa mãn điều kiện

Vậy Cách tìm m để phương trình bậc hai có nghiệm thỏa mãn điều kiện là các giá trị cần tìm.

Đáp án đúng là B

Câu 5: Cho phương trình  Cách tìm m để phương trình bậc hai có nghiệm thỏa mãn điều kiện (m là tham số).

Tìm m để phương trình có hai nghiệm là số đo của 2 cạnh góc vuông của tam giác vuông có cạnh huyền bằng 3.

A. m = ±2

B. m = ±√2

C. m = - 1

D. m = 0

Lời giải:

Ta có: Cách tìm m để phương trình bậc hai có nghiệm thỏa mãn điều kiện, luôn đúng với mọi m

Suy ra phương trình luôn có hai nghiệm phân biệt với mọi giá trị m.

Giả sử phương trình có hai nghiệm là x1, x2.

Áp dụng Vi-et ta có: Cách tìm m để phương trình bậc hai có nghiệm thỏa mãn điều kiện

Theo đề bài x1, x2 là số đo của 2 cạnh góc vuông của tam giác vuông có cạnh huyền bằng 3 nên ta có:

Cách tìm m để phương trình bậc hai có nghiệm thỏa mãn điều kiện

Vậy m = ±2  là các giá trị cần tìm.

Đáp án đúng là A

Câu 6: Cho phương trình x2 - 2x - 2m2 = 0 với x là ẩn số.

Tìm giá trị của m để hai nghiệm của phương trình thỏa hệ thức x12 = 4x22.

A. m = ±2

B. m = ±1

C. m = -6

D. m = 3

Lời giải:

Ta có: Δ' = (-1)2 - (-2m2 )= 1 + 2m2 > 0

Suy ra phương trình luôn có 2 nghiệm phân biệt với mọi giá trị của m.

Giả sử phương trình có hai nghiệm x1, x2 theo hệ thức Vi-ét:

Cách tìm m để phương trình bậc hai có nghiệm thỏa mãn điều kiện

Vậy m = ±2 là giá trị cần tìm.

Đáp án đúng là A

Câu 7: Cho phương trình x2 – 5x + m = 0 (m là tham số).

Tìm m để phương trình trên có hai nghiệm x1, x2 thỏa mãn |x1 - x2| = 3.

A. m = 2

B. m = 4

C. m = 6

D. m = 8

Lời giải:

Ta có: ∆ = 25 – 4m

Để phương trình đã cho có 2 nghiệm phân biệt x1, x2 thì Cách tìm m để phương trình bậc hai có nghiệm thỏa mãn điều kiện

Theo Vi-ét, ta có: x1 + x = 5 (1) và x1.x2 = m (3)

Mặt khác theo giả thiết ta có: |x1 - x2| = 3 (2)

Giải hệ (1) và (2):

Cách tìm m để phương trình bậc hai có nghiệm thỏa mãn điều kiện

Với x1 = 4, x2 = 1 thay vào (3) ta được m = 4

Với x1 = 1, x2 = 4 thay vào (3) ta được m = 4

m = 4 thỏa mãn điều kiện (*) , vậy m = 4 là giá trị cần tìm

Đáp án đúng là B

Câu 8: Cho phương trình bậc hai x2 + 2(m - 1)x - (m + 1)= 0

Tìm giá trị m để phương trình có một nghiệm lớn hơn  và một nghiệm nhỏ hơn 1.

Cách tìm m để phương trình bậc hai có nghiệm thỏa mãn điều kiện

Lời giải:

Ta có: Cách tìm m để phương trình bậc hai có nghiệm thỏa mãn điều kiện

Suy ra phương trình luôn có hai  nghiệm phân biệt x1, x2 với mọi m.

Theo hệ thức Vi- ét ta có: Cách tìm m để phương trình bậc hai có nghiệm thỏa mãn điều kiện

Để phương trình có một nghiệm lớn hơn , một nghiệm nhỏ hơn 1 thì (x1 - 1)(x2 - 1) < 0

Cách tìm m để phương trình bậc hai có nghiệm thỏa mãn điều kiện

Đáp án đúng là C

Câu 9: Cho phương trình bậc hai: x2 + 2(m - 1)x - (m + 1) = 0

Tìm giá trị m để phương trình có hai nghiệm lớn hơn 2

A. m > - 1

B. m > 2

C. m < 2

D. m < 0

Lời giải:

Ta có: Cách tìm m để phương trình bậc hai có nghiệm thỏa mãn điều kiện

Suy ra phương trình luôn có hai  nghiệm phân biệt x1, x2 với mọi m.

Theo hệ thức Vi- ét ta có: Cách tìm m để phương trình bậc hai có nghiệm thỏa mãn điều kiện

Để phương trình có hai nghiệm đều nhỏ hơn 2 thì:

Cách tìm m để phương trình bậc hai có nghiệm thỏa mãn điều kiện

Vậy đáp án đúng là D

Câu 10: Cho phương trình x2 - (2m + 3)x + m2 + 3m + 2 = 0

Xác định m để phương trình có hai nghiệm thỏa mãn -3 < x1 < x2 < 6

A. m > 1

B. -2 < m < 2

C. -4 < m < 4

D. m < 3

Lời giải:

Cách tìm m để phương trình bậc hai có nghiệm thỏa mãn điều kiện

Phương trình đã cho luôn có hai nghiệm phân biệt với mọi m.

Theo hệ thức Vi-et ta có: Cách tìm m để phương trình bậc hai có nghiệm thỏa mãn điều kiện

Vì -3 < x1 < x2 < 6 nên

Cách tìm m để phương trình bậc hai có nghiệm thỏa mãn điều kiện

Cách tìm m để phương trình bậc hai có nghiệm thỏa mãn điều kiện

Vậy -4 < m < 4.

Đáp án đúng là C

2. Bài tập tự luyện

Bài 1. Tìm các giá trị của tham số m để các phương trình sau có hai nghiệm phân biệt:

a) x2 + 2x + m = 0;

b) – x2 + 2mx – m2 – m = 0;

c) mx2 – 3(m + 1)x + m2 – 13m – 6 = 0.

Bài 2. Cho phương trình x2 – (– 4m – 1)x + 2(m – 4) = 0. Tìm các giá trị của m để phương trình có hai nghiệm x1, x2 thỏa mãn:

a) x2 – x1 = 17;

b) Biểu thức A = (x1 – x2)2 có giá trị nhỏ nhất;

c) Tìm hệ thức liên hệ giữa hai nghiệm không phụ thuộc vào m.

Bài 3. Cho phương trình x2 – 5x + m + 4 = 0 (m là tham số). Gọi x1, x2 là hai nghiệm của phương trình. Tìm giá trị của m để phương trình thỏa mãn:

 x1(1 – 3x2) + x2(1 – 3x1) = m2 – 23.

Bài 4. Cho phương trình x2 – (2m + 1)x + m2 + m – 6 = 0.

a) Chứng minh phương trình luôn có hai nghiệm phân biệt;

b) Tìm các giá trị của m để phương trình có hai nghiệm phân biệt;

c) Gọi x1, x2 là hai nghiệm của phương trình. Tìm giá trị nhỏ nhất của biểu thức A=x12+x22;;

d) Tìm các giá trị của m để phương trình có hai nghiệm x1, x2 thỏa mãn x13+x23=19

Bài 5. Cho hai phương trình x2 – mx – m – 1 = 0. Tìm các giá trị của tham số m để phương trình

a) Có hai nghiệm x1, x2 thỏa mãn x13+x23=-1;

b) Có hai nghiệm x1, x2 thỏa mãn x1-x23;

c) Có hai nghiệm x1, x2. Từ đó, hãy lập phương trình bậc hai có u và v là nghiệm biết rằng u=x1+1x2  v=x2+1x1.

Đánh giá

0

0 đánh giá