Câu hỏi:

23/02/2025 69

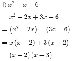
Phân tích đa thức x^2+x-6 thành nhân tử

Trả lời:

verified Giải bởi Vietjack

undefined (ảnh 1)

Phương pháp giải

1. Phân tích đa thức thành nhân tử (hay thừa số) là biến đổi đa thức đó thành một tích của các đa thức khác.

2. Các phương pháp thường dùng:

- Đặt nhân tử chung

- Dùng hằng đẳng thức

- Nhóm các hạng tử

- Phối hợp nhiều phương pháp. Có khi ta phải dùng những phương pháp đặt biệt khác (xem chuyên đề 6)

Xem thêm một số kiến thức liên quan:

Phân tích đa thức thành nhân tử

CÂU HỎI HOT CÙNG CHỦ ĐỀ

Câu 1:

Tìm m để đồ thị hàm số y=x+1x2-2mx+4 có ba đường tiệm cận

Xem đáp án » 23/02/2025 150

Câu 2:

Cho hình 67. Hãy tính độ dài dây AB, biết OA = 13 cm, AM = MB, OM = 5 cm.

Xem đáp án » 23/02/2025 87

Câu 3:

Một người thợ sử dụng thước ngắm có góc vuông để đo chiều cao của một cây dừa, với các kích thước đo được như hình bên. Khoảng cách từ vị trí gốc cây đến vị trí chân của người thợ là 4,8m và từ vị trí chân đứng thẳng trên mặt đất đến mắt của người ngắm là 1,6m. Hỏi với các kích thước trên thì người thợ đo được chiều cao của cây đó là bao nhiêu? (làm tròn đến mét).

Media VietJack

Xem đáp án » 23/02/2025 84

Câu 4:

Tính a, 15: 1112

Xem đáp án » 23/02/2025 81

Câu 5:

Viết số thích hợp vào chỗ chấm:

3,45km =.....m

Xem đáp án » 23/02/2025 77

Câu 6:

Viết các phân số sau theo thứ tự từ bé đến lớn: 89;327;13

Xem đáp án » 23/02/2025 71

Câu 7:

Ở góc phần tư thứ nhất của đường tròn lượng giác. Hãy chọn kết quả đúng trong các kết quả sau đây:

Xem đáp án » 23/02/2025 71

Câu 8:

Có hai thùng đựng dầu, thùng thứ nhất đựng ít hơn thùng thứ hai 48 lít dầu. Biết 5 lần thùng thứ nhất bằng 3 lần thùng thứ hai. Hỏi mỗi thùng đựng bao nhiêu lít dầu?Có hai thùng đựng dầu, thùng thứ nhất đựng ít hơn thùng thứ hai 48 lít dầu. Biết 5 lần thùng thứ nhất bằng 3 lần thùng thứ hai. Hỏi mỗi thùng đựng bao nhiêu lít dầu?

Xem đáp án » 23/02/2025 70

Câu 9:

Đặt tính rồi tính

5 071 × 9

17 218 × 4

56 472 : 8

91 503 : 7

Xem đáp án » 23/02/2025 69

Câu 10:

Chọn từ còn thiếu trong câu sau: Khi nối các đoạn thẳng hoặc đoạn cong với nhau ta thu được đường cong … hơn.

Xem đáp án » 23/02/2025 68

Câu 11:

354dm = ... m ... dm

3040m = ... km ... m

Xem đáp án » 23/02/2025 68

Câu 12:

Em hãy nêu một tình huống trong thực tế liên quan đến bài toán rút về đơn vị rồi đó bạn thực hiện.

Em hãy nêu một tình huống trong thực tế liên quan đến bài toán rút về đơn vị rồi đó bạn thực hiện. (ảnh 1)

Bài toán: Mua 8 chiếc bút hết 48 000 đồng, nếu mua 2 chiếc bút như thế thì hết bao nhiêu tiền?

 

Xem đáp án » 23/02/2025 66

Câu 13:

Biết đồ thi hàm số y=f(x) có một tiệm cận ngang là y=3. Khi đó đồ thị hàm số y=2f(x)-4 có một tiệm cận ngang là

Xem đáp án » 23/02/2025 66

Câu 14:

Đặt tính rồi tính

0,1904 : 8

Xem đáp án » 23/02/2025 65

Câu hỏi mới nhất

Xem thêm »
Xem thêm »