Cho biểu thức . Giá trị của A bằng:
A.
B.
C.
D.
Giải bởi Vietjack
Đáp án đúng là: B
Phương pháp giải:
Tính tổng của nhiều phân số có tử số là n (n > 0); mẫu số là tích của 2 thừa số có hiệu bằng n và thừa số thứ 2 của mẫu số phân số liền trước là thừa số thứ nhất của mẫu số phân số liền sau
|
Phương pháp giải Tử số bằng hiệu hai thừa số ở mẫu số. Ta tách như sau: Ví dụ:
|
Bài tập liên quan:
Tính:
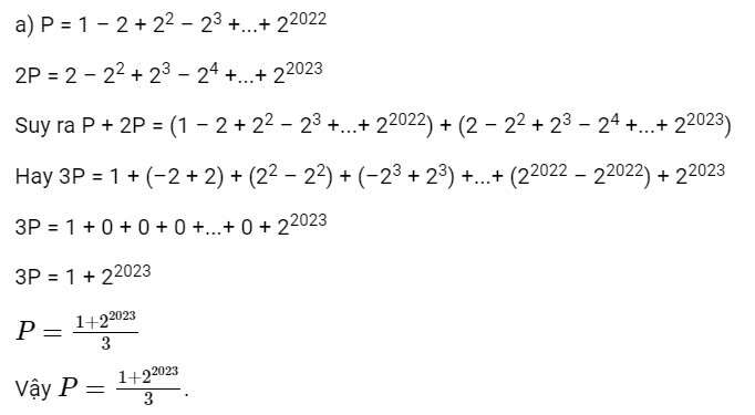
a) P = 1 – 2 + 22 – 23 +...+ 22022;
Cách giải:

Tham khảo thêm một số tài liệu liên quan:
Lý thuyết Thứ tự thực hiện các phép tính. Quy tắc chuyển vế (Kết nối tri thức) | Toán lớp 7
22 câu Trắc nghiệm Thứ tự thực hiện các phép tính. Quy tắc chuyển vế (Kết nối tri thức) – Toán lớp 7